技术专题 | 永光化学 - 光波动剂使用在PET之探讨
已有人阅读此文 - -聚对苯二甲酸乙二酯(PET)具备高透光度,所以做为电子光学膜/材应用。而为了更好地提升商品的额外使用价值,会加上光稳定剂来减少紫外光透过率和提升耐候特性。本试验利用DOE实验方案设计法,来找到适宜化的光稳定剂占比,借此能合理的提高PET的紫外光隔绝率。人力加快脆化试验数据显示,提升ST13006在PET里的合理浓度值,能够 提升相对性维护实际效果,其耐候性相比未加上过的提升40.16%。本科学研究也加上HALS在PET,讨论HALS在PET里的耐候实际效果。
1. 介绍
聚对苯二甲酸乙二酯(Polyethylene terephthalate, PET)是日常生活普遍的一种高分子材料,因具备优质的延展性、耐磨性能、电介电强度、高透光度等优势。可利用押出机(Extrusion)、射出去(Injection)等方法制做出不一样的商品,如器皿、化学纤维、塑料薄膜、家用电器零组件等运用。在其中高透光性特性、高流通性和高融熔抗压强度使PET可制做成各种各样光学薄膜,如薄膜袋、太阳能发电侧板、防护膜、提亮膜、太阳膜等运用。[1,2]
PET是归属于聚脂高分子材料,由对苯二甲酸与乙二醇经过缩合反应而成,其分子式如图所示一所显示。其苯环使PET具备优良的刚度、耐温性、规格安定性等特性,酯基使PET具备好的柔韧度和延展性等特性。

图1. PET分子式[2]
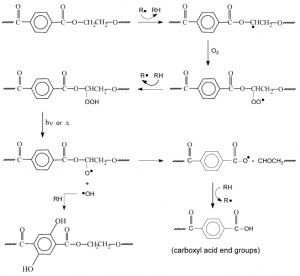
PET照射紫外光以后,所造成的光劣化机制,有很多专家学者明确提出不一样的反映方式。G.J.M Fechine[2]等利用红外线,紫外线/能见光光谱分析仪和荧光光谱等机器设备,剖析PET在耐候全过程中的图普转变,从而计算出PET的化学降解体制,如图2所显示。

图2 PET化学降解体制[3]
由图2获知PET遭受自由基进攻以后,酯基部分会造成自由基,此自由基与空气中氧原子功效,产生过氧自由基,过氧自由基会与高分子材料产生氢提取反映,在碳链上造成羧基基,羧基基会消化吸收光/热,导致酯基部分断键,造成羧基等化合物。
为了更好地减少紫外光针对PET的毁坏,且需保持全透明材的特性,一般会应用光稳定剂来改进耐候,在其中光稳定剂包含紫外光吸附剂(UV absorber, UVA)和遇阻胺光稳定剂(Hindered-Amine Light Stabilizers, HALS),紫外光吸附剂可消化吸收紫外光转化成能源释放掉。遇阻胺光稳定剂关键捕捉自由基,避免劣变产生,但偏碱的HALS对酸碱性高分子材料很有可能造成无效[4],而HALS针对PET的有关参考文献并不是很多,故本科学研究基本加上不一样种类的HALS在PET中,讨论其试验的結果。
2. 原材料与方式
2.1 试验原材料
聚对苯二甲酸乙二酯(5564) 新光股权有限责任公司;光稳定剂则采用苯并三唑(Benzotriazole)紫外光吸附剂: EversorbR 234 (EV234)和盐酸氟苯类光稳定剂:ST13006及其三嗪类光稳定剂:ST13024;遇阻胺光稳定剂:EversorbR 91 (EV91)、EversorbR 94 (EV94),之上光稳定剂由永光化学反应(股)企业出示。
2.2 做法:
将PET放进烘干箱,经过机械泵真空包装,并设置120℃置放4钟头除去水份,再加上不一样成分的光稳定剂在PET中,经过震雄机械设备的50T射出去成形机制做需要的试片,其PET板材规格(长x宽x厚)为50x50x0.81mm
2.3 耐候检测及测量标准:
选用Shimadzu(型号规格UV-2600)的UV-Visible光谱分析仪各自量检测片在光波长390和420nm的透过率图普。并利用英国Q-LAB UV测试机(型号规格QUV/se)依照340nmled灯管和直射动能0.89W/m2/nm全照光方法开展加快脆化试验,将依不一样直射時间的试品,利用Minolta色度计(型号规格CM-3500d)按照CIE 15:2004标准开展色调测量,测量YI值。
3. 結果与剖析
本试验利用实验方案设计(Design of Experiment, DOE)设计制作检测主要参数并剖析其結果,借此剖析出较大 的影响因子查询及其适宜化的加上占比。依照DOE所设计方案出的加上占比,加上在PET原材料中先利用UV-Visible光谱分析仪测量390nm和420nm的透过率及其应用色度计测量起止YI值,再经过QUV加快脆化耐候机检测1000小时后的YI值,其加上占比和检测結果如表1和表2所显示。
表1. DOE试验数据信息
表2. 空缺组试验数据信息

3.1 紫外光/能见光透过率
PET依照其商品的要求,通常会加上光稳定剂来减少商品的紫外光透过率,而加上紫外光吸附剂一般能合理得减少紫外光透过率,但却会危害到能见光透过率,一般商品的要求是紫外光透过率愈低越好,而能见光透过率愈高越好。本试验利用表1的实验方案设计和結果再开展剖析,其剖析結果各自如表3参数估计表和表4误差剖析(ANOVA)表及其图3主效用图所显示。
表3.参数估计表
表4.误差剖析(ANOVA)表
图3. 加上不一样占比的光稳定剂后,光波长390nm和420nm透过率较为(主效用图)
由图三分析結果能够 发觉,假定要获得较低的390透过率和较高的420nm透过率,其适宜化的占比为EV234:ST13006:ST13024约为0.52:0.48:0,能做到390nm透过率约为0.01%及其420nm透过率约为84.45%。
3.2变黄状况
PET具备苯环和酯基的构造,故易消化吸收紫外光造成变黄状况。这对商品的使用期限有非常大的危害性,故加上光稳定剂来减少商品的变黄状况。本试验利用表1的实验方案设计和結果,再进一步对于耐候特性开展剖析和讨论。其剖析結果各自如表5参数估计表和表6误差剖析(ANOVA)表及其图4主效用图所显示。
表5.参数估计表
表6.误差剖析(ANOVA)表

图4. 加上不一样占比的光稳定剂后,PET试片起止色调和脆化特性较为(主效用图)
由图4剖析結果得知,单纯性加上ST13006在PET中,能合理的减少耐候的黄变值(YI=2.166),且危害起止色调最少(YI=1.042),和空缺组(Control)作一较为,如图所示5所显示,空缺组直射1000钟头以后,YI值提高至5.39,而加上1% ST13006其YI值仅有2.16,约提高了40.16%耐黄变特性,从而可掌握到ST13006针对PET耐候性是有显著提高。

图5. 加上光稳定剂的PET耐候检测的YI值
3.3 HALS效用
HALS加上在PET高分子材料的参考文献讨论很少,本科学研究各自加上1%EV91和EV94在PET,利用人力加快老化试验机检测1000钟头测量YI值,其试验結果如图所示6所显示。其数据显示,N-H型EV91加上在PET时,其起止YI值做到7.53,高低温试验后其YI值已做到11.40。而N-R型EV94则在起止色调和空缺组非常约为1.23,但在高低温试验后其YI数值9.21,也比空缺组YI值5.39来的高。其很有可能与PET在高低温试验前后左右羧基的含量相关,其因HALS针对酸性物质会造成无效效用,但还需再作进一步讨论才可确定。

图6. 加上HALS的PET耐候检测前后左右YI值的较为。
4. 结果
本试验研究发现,加上光稳定剂能减少PET的紫外光透过率,其最好的占比是EV234:ST13006约为0.52:0.48,能做到390nm透过率约为0.46%和420nm透过率约为84.45%。且历经高低温试验以后,由加上1%的ST13006的耐黄变实际效果最好,且不危害起止色调。和空缺组作一较为,能提高PET约40.16%的耐黄变特性。而在HALS的效用上,加上HALS对最后的耐候协助并不大,且N-H型EV91对起止色调也有一定的危害,其很有可能缘故是PET自身羧基浓度值相关,但还需再作进一步探讨。
来源于:永光化学反应特用有机化学工作处

