杰得佳推出新型聚氨酯软泡用紫外线吸收剂
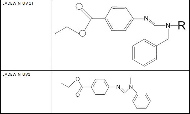
已有人阅读此文 - -日前青岛市杰得佳新型材料高新科技有限责任公司根据对传统式紫外线吸收剂UV1构造的改善,发布一种新式的紫外线吸收剂JADEWIN UV1T。

JADEWIN UV1T为苄基甲醚化学物质,外型为白结晶体粉末状。本产品摆脱了传统式紫外线吸收剂UV1颜色不稳定易掉色、不耐热及UV消化吸收股票波段窄等缺陷
JADEWIN UV1T为苄基甲醚化学物质,外型为白结晶体粉末状,合理摆脱了传统式紫外线吸收剂UV1颜色不稳定易掉色、不耐热及UV消化吸收股票波段窄等缺陷。对UVB和UVA 股票波段紫外线都具备高效率消化吸收功效,能够合理安全防护紫外线辐射源造成 的颜色转变。具备低加上量,低挥发分与聚氨酯材料具备不错的相溶性。另外还可以更强改进聚氨酯材料软泡的绵软舒适感,让纺织物和海棉能够更为貼身舒服,能够为顾客产生更强的消費感受。
聚氨酯材料塑料泡沫(Flexible Polyurethane Foam)又称之为聚氨酯材料软泡,,具备相对密度低、透气性、隔音、隔热保温、回弹力好等优势。广泛运用于垫材――如坐椅、布艺沙发、床垫子、汽车头枕等;隔音材料;纺织物高分子材料――肩垫、画妆绵等行业。依据聚醚多元醇原材料的不一样,又分成聚脂型软泡和聚醚型软泡。聚醚型软泡具备更强的延展性,因此很多运用于在垫材和纺织物高分子材料如海棉等行业。
聚醚型软泡的加工过程中,受制于较高的聚氨酯发泡溫度及其触碰紫外线等要素,非常容易导致海棉的变黄。具备较高的耐温性及高效率紫外线吸收剂工作能力的光稳定剂变成聚氨酯材料软泡行业新的要求,也是各种跨国企业科学研究的关键。
青岛市杰得佳新型材料高新科技有限责任公司在聚氨酯材料行业首先在中国发布水溶性抗氧剂JADEWIN 245DW, 水溶性抗黄变剂HN330,合理处理水性聚氨酯热干固变黄及耐老化差等难题。JADEWIN AN245DW 在水性丙烯酸建筑涂料、沥清防水材料、水性聚氨酯建筑涂料被广泛运用。此外,杰得佳几款聚醚商品专用型的抗黄变剂,无胺的抗氧剂、耐热改性剂等也在产品研发当中,坚信会出现大量的好商品面世,服务项目中国太平洋。
来源于:CPRJ 中国塑料硫化橡胶

