汽车内饰的塑料制品中的小妖精是怎样跑出来的?
已有人阅读此文 - -
――聚碳酸酯和聚丙烯的挥发性有机化合物是怎样造成的?
“车里气体会有异味。”
“汽车内饰件原材料会挥传出小分子水。”
伴随着新闻媒体的报道和顾客对身心健康的高度重视,上边这几句话可以说愈来愈落到实处。因为毛毯、皮革制品、强力胶、纺织物,塑材件等的应用,造成 了车里挥发性有机化合物的上升和味道的提升。随着着汽车轻量化的发展趋势和设计方案人性化规定的提升,汽车内部塑胶制品的应用也愈来愈多,伴随着也产生了散发性的提升。
那麼塑胶制品里的这种小仙女到底是从哪里来的呢?
我们知道,塑胶制品大多数是高分子材料的化学物质,这种人工合成的化学物质基础全是根据原油中提炼的小分子水化学物质根据化学变化生成出去的。生成的全过程各种各样,会引进许多反映单个、有机溶剂和金属催化剂这些,而这种化学物质,要是没有反映彻底,就会追随高聚物进到以后的阶段,最后遛到汽车内饰件零部件上,渐渐地的释放在了车细胞外液中。例如,轿车内常见的ABS,就由于反映有机溶剂为邻二甲苯,在零部件的散发性检测的情况下就会发觉一定成分的邻二甲苯残余。那是否塑胶制品的散发性全是这种残余造成 的呢?图样图森破~自然并不是……
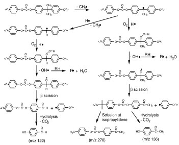
因为高分子材料化学物质拥有 较长的高聚物链,在遭受高溫、辐射源、co2空气氧化等危害的情况下,还会继续产生生物大分子链的开裂。一方面,这类开裂会产生工艺性能的转变,另一方面,很有可能就会造成低分子结构的有机化合物蒸发到自然环境中去。大家用汽车内饰件里普遍到二种高聚物:聚丙烯和聚碳酸酯来举例说明,看一下她们是怎样转变的。
聚丙烯是一种环己醇链的热固性高聚物,在大家的日常日常生活许多地区都能够见到他的影子。可是,由于聚丙烯链上羟基的存有,造成 氧原子非常容易遭受攻击,进而产生降解反映:

从上边的反映原理我们可以发觉,聚丙烯在遭受氧自由基攻击而且在co2的参加下,会产生β降解,并进一步造成代烃化学物质(VII)。当这类解链产生在链端情况下,就会造成溴化氢。每产生一次就会形成溴化氢。因而溴化氢的散发性,在聚丙烯这类原材料的检测中,都较为高。
除开代烃化学物质,环己醇的降解还会继续造成其他的挥发性有机化合物,大家对销售市场上普遍的聚丙烯类的铝合金商品开展了GC-MS剖析,从結果能够 看得出,不一样的铝合金商品,象征性的挥发性化学物质也不一样。

聚碳酸酯也是一种普遍的橡胶制品,普遍用在各种各样塑料合金中,大灯乃至顶棚也经常会出现聚碳酸酯的影子。
依照聚碳酸酯的生成加工工艺的不一样,残余物关键为苯的同系物或是甲酸。聚碳酸酯的热氧降解也主要是造成含苯环的化学物质,可是因为其含量较为大,非常少会以挥发性有机化合物的方法,外扩散到车细胞外液中。

根据上边的详细介绍,坚信大伙儿应当更为清晰这种小仙女是怎样从潘朵拉的小盒子里爬出来的了。
锦湖日丽一直在减少商品散发性的路面上勤奋科学研究。根据掌握和科学研究散发性化学物质的前因后果,找寻方式减少原材料的挥发性。知其然,学有所用,仅有知道怎么会造成,才会协助大家更强的防止,并实干地给顾客产生更安全性的汽车内饰件用原材料。锦湖日丽也协同其总公司日之升,合作开发了一种反映性改性剂。根据该改性剂,在产生热氧降解的前期,就可以将造成的氧自由基开展捕获,而且恢复开裂的分子结构链,把造成的小分子水再次接回来分子结构链主链,进而降低了小分子水的蒸发量。
锦湖日丽根据其在原材料、生产制造、秘方等层面的了解和技术性累积,能够 将原材料的散发性较普遍原材料减少60%之上。
来源于:锦湖日丽



